Publications*

 *厳格な安全保障貿易管理のもと、科学の発展に重要と思われる当グループ研究成果の一部を学術論文として発表しております。
 
----- 2025-----
[96] クロロホルムを原料とする光オン・デマンドホスゲン化反応を用いるイソシアネートおよびポリウレタンの合成
津田 明彦
機能性材料, 2025, 45, 11-22.
 
----- 2023 -----
[95] 安全・安価・簡単・低環境負荷なフロー光オン・デマンドカーボネート合成
津田 明彦
光アライアンス, 2024, 10, 31-34.

[94] Photo-on-Demand In Situ One-Pot Synthesis of Carbonate Esters from Tetrachloroethylene
Ikkei Higashimura, Muge Shele, Toshiki Akamatsu, Ryota Ohmura, Fengying Liang, Takashi Okazoe, and Akihiko Tsuda*
J. Org. Chem. 2024, 89, 1864–1872.
doi.org/10.1021/acs.joc.3c02588
関連特許:[40], [52]
Press Release (日本語)(English)
–> International Press Release ([1] EurekAlert!, [2] Alpha Galileo)
[報道] 
海外BNN Breaking (2024, 1/10), ISP.PAGE (2024, 1/13), CHEMISTRY WORLD (2024, 1/17), 他 (see ACS Publication_Article Metrics)

 
[93] Flow Photo-on-Demand Synthesis of Vilsmeier Reagent and Acyl Chlorides from Chloroform and its Applications to Continuous Flow Synthesis of Carbonyl Compounds
Yue Liu, Yukina Shirai, Itsuumi Okada, Ryota Ohmura, Fengying Liang, and Akihiko Tsuda*
Org. Process Res. Dev. 2024, 28, 1632–1639.
doi.org/10.1021/acs.oprd.3c00267
関連特許:[10], [45]
Press Release (日本語)(English)
–> International Press Release ([1] EurekAlert!, [2] Alpha Galileo)
[報道] 
海外Archyde (2023, 9/20), Enerzine (2023, 9/20), Chemical Engineering (2023, 11/1), Chemical Processing (2024, 1/23),他 (see ACS Publication_Article Metrics)

 
[92] Photo-on-Demand In Situ Phosgenation Reactions That Cross Three Phases of a Heterogeneous Solution of Chloroform and Aqueous NaOH
Akihiko Tsuda,* Naoko Ozawa, Ryo Muranaka, Tomoya Kuwahara, Ayako Matsune, and Fengying Liang
ACS Omega 2023, 8, 27802–27810. [Open Access]
doi.org/10.1021/acsomega.3c04290
関連特許:[8], [9], [23]
Press Release (日本語)(English)
–> International Press Release ([1] EurekAlert!, [2] Alpha Galileo)
[報道]
国内: コンバーテック 2023年11月号 (pp.137-139) (2023, 11/14)
海外: VERVE TIMES (2023, 8/9), Advances in Engineering (2024, 2/22), 他 (see ACS Publication_Article Metrics)

 
[91] Non-Isocyanate Polyurethane Synthesis by Polycondensation of Alkylene and Arylene Bis(fluoroalkyl) Bis(carbonate)s with Diamines
Sasuga Hosokawa,§ Akihiro Nagao,§ Yuka Hashimoto, Ayako Matsune, Takashi Okazoe,* Chitoshi Suzuki, Hiroshi Wada, Toshifumi Kakiuchi, and Akihiko Tsuda*
(§:equal contribution)
Bull. Chem. Soc. Jpn. 2023, 96, 663–670. [Open Access]
[受賞] BCSJ Award Article
[Highlight] Cover Picture
doi:10.1246/bcsj.20230066
関連特許:[38]
Press Release (日本語)(English)
–> International Press Release ([1] EurekAlert!, [2] Alpha Galileo)
[報道]
国内TECH+ [マイナビニュース] (2023,7/24), 化学工業日報 (2023,7/26), 日刊工業新聞 (2023, 8/15), ニュースイッチ (2023, 8/16), YAHOO!ニュース (2023, 8/16), 日本化学会 X (2023, 8/17)
海外: 关于环球聚氨酯网(PUWORLD.COM) (2023, 8/9)
 

 
[90] (Focous Review) In Situ Photo-on-Demand Phosgenation Reactions with Chloroform for the Synthesis of Polycarbonates and Polyurethanes
Akihiko Tsuda
Polym. J. 2023, 55, 903–912. [Open Access]
関連特許:[1], [3], [8], [9], [22], [23], [31]
[Highlight] Cover Picture
doi.org/10.1038/s41428-023-00800-w
 
 
[89] クロロホルムを原料とする光オン・デマンドホスゲン化反応を用いるイソシアネートおよびポリウレタンの合成
津田 明彦
機能性ポリウレタンの開発と応用, シーエムシー出版, 2023, 265–277.
関連特許:[1], [3], [8], [9], [22], [31]

 
[88] Photo-on-Demand In Situ Synthesis of N-Substituted Trichloroacetamides with Tetrachloroethylene and Their Conversions to Ureas, Carbamates, and Polyurethanes
Toshiki Akamatsu,§ Muge Shele,§ Ayako Matsune, Yoshiyuki Kashiki, Fengying Liang, Takashi Okazoe, and Akihiko Tsuda*
(§:equal contribution)
ACS Omega 2023, 8, 2669–2684. [Open Access]
doi.org/10.1021/acsomega.2c07233
関連特許:[28]
Press Release (日本語) (English)
–> International Press Release ([1] EurekAlert!, [2] Alpha Galileo)
[報道] 
国内日経クロステック (2023, 1/23), 日経テックフォーサイト(2023, 1/23), 日刊工業新聞 (2023, 1/24)
海外: see ACS Publication_Article Metrics

 
----- 2022 -----
[87] Flow Photo-On-Demand Phosgenation Reactions with Chloroform
Yue Liu, Itsuumi Okada, and Akihiko Tsuda*
Org. Process Res. Dev. 2022, 26, 3336–3344.
doi.org/10.1021/acs.oprd.2c00322
関連特許:[45]
Press Release (日本語) (English)
–> International Press Release ([1] EurekAlert!, [2] Alpha Galileo)
[報道]
国内: 日刊工業新聞 (2022,11/18), ニュースイッチ (2022,11/21),  日経電子版 (2022,11/25),  Chem-Station スポットライトリサーチ (2022,12/8), 日経クロステック (2022, 12/13), 日経テックフォーサイト(2022, 12/13)
海外ChemistryViews (Wiley-VCH) (2022, 11/21), CHEMEUROP.COM (2022, 11/25), CHEMIE.DE (2022, 11/25), QUIMICA.ES (2022, 11/25), see ACS Publication_Article Metrics

 
[86] Photo-On-Demand Synthesis of α-Amino Acid N-Carboxyanhydrides with Chloroform
Toshiyuki Sugimoto, Tomoya Kuwahara, Fengying Liang, Huirong Wang, and Akihiko Tsuda*
ACS Omega 2022, 7, 39250–39257. [Open Access]
doi.org/10.1021/acsomega.2c05299
関連特許:[27]
Press Release (日本語) (English)
–> International Press Release ([1] EurekAlert!, [2] Alpha Galileo)
[報道]
海外: see ACS Publication_Article Metrics
[Youtube] https://youtu.be/54bKH1RvXVQ

 
[85] Reactivity and Product Selectivity of Fluoroalkyl Carbonates in Substitution Reactions with Primary Alcohols and Amines
Shuto Hatsumura,§ Yuka Hashimoto,§ Sasuga Hosokawa, Akihiro Nagao, Kazuo Eda, Hirofumi Harada, Kei Ishitsuka, Takashi Okazoe, and Akihiko Tsuda* 
(§:equal contribution)
J. Org. Chem. 2022, 87, 11572–11582.
doi.org/10.1021/acs.joc.2c01180
関連特許:[9], [38]
Press Release (日本語) (English)
–> International Press Release ([1] EurekAlert!, [2] Alpha Galileo)
[報道]
国内: 化学工業日報 (2022,9/5), 日経クロステック (2022,9/29), 日経テックフォーサイト (2022, 9/29)
海外: see ACS Publication_Article Metrics

 
[84] Direct Syntheses of Diphenylmethanol Derivatives from Substituted Benzenes and CHCl3 through Friedel-Crafts Alkylation and Post Hydrolysis or Alcoholysis Catalyzed by Alumina
Guga Suri, Fengying Liang, Mixia Hu, Meiling Wang, Ren Bu, Xiaoying Zhang, Hui Wang,Wenyan Dong, Chaolu Eerdun,* and Akihiko Tsuda*
ChemistryOpen, 2022, 11, e202200042. [Open Access]
doi.org/10.1002/open.202200042
関連特許:[39]
Press Release (日本語) (English)
–> International Press Release ([1] EurekAlert!, [2] Alpha Galileo)
[報道]
国内日経電子版  (2022,6/7) 化学工業日報 (2022,7/8)
海外: see Wiley Online Library_Article Metrics

 
[83] Photo-on-Demand Phosgenation Reactions with Chloroform Triggered by Cl2 upon Irradiation with Visible Light: Syntheses of Chloroformates, Carbonate Esters, and Isocyanates
Yuto Suzuki, Fengying Liang, Takashi Okazoe,* Hidekazu Okamoto, Yu Takeuchi, and Akihiko Tsuda*
Chem. Lett. 202251, 549–551. [Open Access]
doi.org/10.1246/cl.220081
関連特許: [31]
Press Release (日本語)
[報道]
日経産業新聞, 日経電子版 (2022,4/6), 日本化学会 Twitter (2022, 12/23)

 
[82] Photo-on-Demand Phosgenation Reactions with Chloroform for Selective Syntheses of N-Substituted Ureas and Isocyanates
Ryo Muranaka, Yue Liu, Itsuumi Okada, Takashi Okazoe, and Akihiko Tsuda*
ACS Omega 2022, 7, 5584–5594. [Open Access]
doi.org/10.1021/acsomega.1c07132
関連特許:[22]
Press Release (日本語)  
[報道]
日経産業新聞, 日経電子版 (2022,4/6)

 
----- 2021 -----
[81] Photo-on-Demand Base-Catalyzed Phosgenation Reactions with Chloroform: Synthesis of Arylcarbonate and Halocarbonate Esters
Yuka Hashimoto, Sasuga Hosokawa, Fengying Liang, Yuto Suzuki, Namin Dai, Gegen Tana, Kazuo Eda, Toshifumi Kakiuchi, Takashi Okazoe, Hidefumi Harada, and Akihiko Tsuda*
J. Org. Chem. 2021, 86, 9811–9819.
doi.org/10.1021/acs.joc.1c01210
関連特許:[8], [9], [23]
Press Release (日本語)

 
[80] Photo-on-Demand Synthesis of Vilsmeier Reagents with Chloroform and their Applications to One-pot Organic Syntheses
Fengying Liang, Kazuo Eda, Takashi Okazoe*, Akihiro Wada, Nobuaki Mori, Katsuhiko Konishi, and Akihiko Tsuda*
J. Org. Chem. 202186, 6504–6517.
doi.org/10.1021/acs.joc.1c00334
関連特許:[18]
[報道]
化学工業日報 (2021,4/8)

 
<解説>
[79] クロロホルムを原料とするカーボネート誘導体の光オン・デマンド合成
津田 明彦
光化学, 2021, 52, 149–152.

 
<Editorial>
[78] Editorial: Supramolecular Chirogenesis in Chemical and Related Sciences
Yue Sun, Riina Aav, Akihiko Tsuda, Hiroyuki Miyake, Keiji Hirose, and Victor Borovkov
Front. Chem. 2021, 09, 679332. [Open Access]
doi.org/10.3389/fchem.2021.679332
 
----- 2020 -----
[77] A Chiral Metal-Organic 1D-Coordination Polymer upon Complexation of Phenylene-bridged Bipyrrole and Palladium (II) Ion
Kumiko Nishinaka, Jiandong Han, Dongli Han, Yue Liu, Yanqing Du, Meiling Wang, Chaolu Eerdun,* Nobuyasu Naruse, Yutaka Mera, Yoshio Furusho, and Akihiko Tsuda*
Front. Chem. 2020, 08, 613932. [Open Access]
doi.org/10.3389/fchem.2020.613932

 
[76] Hydroxychalcone Dyes that Serve as Color Indicators for pH and Fluoride Ions
Yanqing Du, Fengying Liang, Mixia Hu, Ren Bu, Meiling Wang, Akihiko Tsuda,* and Chaolu Eerdun*
RSC Advances 202010, 37463–37472. [Open Access]
doi.org/10.1039/D0RA06719A

 
[75] Photo-on-Demand Synthesis of Chloroformates with a Chloroform Solution Containing an Alcohol and Its One-pot Conversion to Carbonates and Carbamates
Fengying Liang, Masaki Yanai, Yuto Suzuki, and Akihiko Tsuda*
Org. Lett. 202022, 3566–3569.
doi.org/10.1021/acs.orglett.0c01013
関連特許:[3]
[報道]
日刊工業新聞 (2019,8/27), 化学工業日報 (2019,8/29)

 
----- 2018 -----
<解説>
[74] 音楽の音が引き起こすナノファイバーの動的整列現象
津田 明彦
化学と教育, 2019, 67, 346–349.
doi.org/10.20665/kakyoshi.67.8_346
 
[73] 音で流れるナノファイバー
津田 明彦
繊維学会誌 7月特集号「繊維と音」, 2018, 74, 292–297.
doi.org/10.2115/fiber.74.P-292
 
[72] 可聴音で配向する超分子ナノファイバー
津田 明彦
科学と工業, 2018, 92, 31-37.
 
----- 2017 -----
[71] An Acid-Responsive Single Trichromatic Luminescent Dye That Provides Pure White Light Emission
Keigo Imamura, Yoshifumi Ueno, Seiji Akimoto, Kazuo Eda, Yanqing Du, Chaolu Eerdun, Meiling Wang, Kumiko Nishinaka, and Akihiko Tsuda
ChemPhotoChem 2017, 1, 427–431. [Open Access]
doi.org/10.1002/cptc.201700108
関連特許: [4]

 
[70] Switching of the π-Electronic Conjugations in the Reductions of a Dithienylethene-Fused p-Benzoquinone
Eiji Saito, Takumi Ako, Yasuhiro Kobori, and Akihiko Tsuda 
RSC Advances 20177, 2403–2406. [Open Access]
doi.org/10.1039/C6RA27001H

 
----- 2016 -----
[69] Synthesis and Photoisomerization of an Azobenzene-Containing Tetrapyrrolic Macrocycle
Taiki Yamamoto, Daichi Nakamura, Guanfan Liu, Kumiko Nishinaka, and Akihiko Tsuda
J. Photochem. Photobiol. A Chem. 2016, 331, 66–75.
(Special issue ‘Prof. Yoshihisa Inoue for his contribution on molecular and supramolecular photochemistry’)
doi.org/10.1016/j.jphotochem.2015.08.006

 
----- 2015 -----
[68] Formation of Discrete Ladders and a Macroporous Xerogel Film by the Zipperlike Dimerization of Meso–Meso-Linked Zinc(II) Porphyrin Arrays with Di(pyrid-3-yl)acetylene
Kohei Kose, Jin Motoyanagi, Takahiro Kusukawa, Atsuhiro Osuka, and Akihiko Tsuda
Angew. Chem. Int. Ed. 2015, 54, 8673-8678.
doi.org/10.1002/anie.201502663

 
[67] Photochromism in Sound-induced Alignment of a Diarylethene Supramolecular Nanofibre.
Yasuhisa Hotta, Satomi Fukushima, Jin Motoyanagi, and Akihiko Tsuda
Chem. Commun. 2015, 51, 2790-2793.
*Highlighted in Inside Back Cover
doi.org/10.1039/C4CC09702E

 
[66] Chiroptical Sensing of Oligonucleotides with a Cyclic Octapyrrole
Machiko Ie, Jun-ichiro Setsune, Kazuo Eda, and Akihiko Tsuda
Org. Chem. Front. 2015, 2, 29-33.
(Celebrating the 80th Birthday of Professor Ei-ichi Negishi)
*Highlighted in Inside Front Cover Open Access
doi.org/10.1039/C4QO00268G

 
<解説>
[65] 渦を巻き,音でならぶ,超分子ナノファイバー
津田 明彦
現代化学(東京化学同人)2015, No. 536, 41-46.
*Highlighted in Cover Picture, *表紙でハイライト

 
----- 2014 -----
[64] Mechanistic Study on the Facilitation of Enzymatic Hydrolysis by α-Glucosidase in the Presence of Betaine-type Metabolite Anologs.
Yuichi Nakagawa, Shiro Sehata, Satoshi Fujita, Hiroaki Yamamoto, Akihiko Tsuda and Kazuya Komoto
Tetrahedron 2014, 70, 5895-5903.
doi.org/10.1016/j.tet.2014.06.028
 
[63] Control of Reaction Pathways in the Photochemical Reaction of a Quinone with Tetramethylethylene by Metal Binding.
Hiroaki Yamamoto, Kei Ohkubo, Seiji Akimoto, Shunichi Fukuzumi, and Akihiko Tsuda
Org. Biomol. Chem. 2014, 12, 7004-7017.
*Highlighted in Inside Front Cover
doi.org/10.1039/C4OB00659C

 
[62] A Physical Operation of Hydrodynamic Orientation of an Azobenzene Supramolecular Assembly with Light and Sound.
Yasuhisa Hotta, Shunsuke Suiko, Jin Motoyanagi, Hiroshi Onishi, Taisuke Iozaki, Ryuichi Arakawa, and Akihiko Tsuda
Chem. Commun. 2014, 50, 5615–5618.
*Highlighted in Nature Chem. 2014, 6, 459
doi.org/10.1039/C4CC02078B

 
[61] Acoustic Alignment of a Supramolecular Nanofiber in Harmony with the Sound of Music.
Ryosuke Miura, Yasunari Ando, Yasuhisa Hotta, Yoshiki Nagatani, and Akihiko Tsuda
ChemPlusChem 2014, 79, 516–523.
*Highlighted in Cover Picture and Cover Profile, ChemistryViewsWiley-JAPAN Science Cafe, Phys. Org., Nanotech. Japan
doi.org/10.1002/cplu.201300400

 
<Review>
[60] Hydrodynamic Helical Orientations of Nanofibers in a Vortex.
Akihiko Tsuda
Symmetry 2014, 6, 383–395. Open Access
doi.org/10.3390/sym6020383

 
<特集>
[59] 音楽の音に応答して整列する超分子ナノファイバー
堀田 泰久, 津田 明彦
超音波TECHNO 2014, 26, 6-10
 
----- 2013 -----
[58] Organic Syntheses with Photochemically Generated Chemicals from Tetrachloroethylene
Ailing Zhang, Yuki Kuwahara, Yasuhisa Hotta, and Akihiko Tsuda
Asian J. Org. Chem. 2013, 2, 572–578.
*Highlighted in Frontispiece Picture and ChemistryViews
doi.org/10.1002/ajoc.201300089
関連特許: [1]

 
[57] Vortex-Induced Alignment of a Water Soluble Supramolecular Nanofiber Composed of an Amphiphilic Dendrimer
Taiki Yamamoto and Akihiko Tsuda
Molecules 2013, 18, 7071–7080. Open Access
doi.org/10.3390/molecules18067071

 
<著書>
[56] 分子の世界に響くモーツァルト音楽
津田 明彦
KAWADE夢ムック/文藝別冊「モーツァルト」, 河出書房新社,2013, 138–147
 
----- 2012 -----
[55] Photochemical Molecular Storage of Cl2, HCl, and COCl2: Synthesis of Organochlorine Compounds, Salts, Ureas, and Polycarbonate with a Photodecomposed Chloroform
Yuki Kuwahara, Ailing Zhang, Haruka Soma, and Akihiko Tsuda
Org. Lett. 2012, 14, 3376–3379.
doi.org/10.1021/ol301356r
関連特許: [1]

 
[54] Brominated Methanes as Photo-Responsive Molecular Storage of Elemental Br2
Kazumitsu Kawakami, and Akihiko Tsuda
Chem. Asian. J. 2012, 7, 2240–2252.
*Highlighted in Frontispiece Picture
doi.org/10.1002/asia.201200322
関連特許: [1]

 
<Book>
[53] Porphyrin Nanoclusters for Sensoring Chemical and Physical Stimuli
Akihiko Tsuda
Multiporphyrin Arrays: Fundamentals and Applications, Pan Stanford Publishing Pte. Ltd., 2012, 629–653
Edited by Dongho Kim
 
----- 2011 -----
[52] A Self-Assembled Helical Anthracene Nanofibre Whose P- and M-Isomers Show Unequal Linear Dichroism in a Vortex
Yasunari Ando, Tomoki Sugihara, Kenjiro Kimura, and Akihiko Tsuda
Chem. Commun. 2011, 47, 11748-11750.
*Emerging Investigators Issue 2012
doi.org/10.1039/C1CC14241K

 
[51] Spectroscopic Visualization of Right- and Left-handed Helical Alignments of DNA in Chiral Vortex Flows
Yuya Tsujimoto, Machiko Ie, Yasunari Ando, Taiki Yamamoto, and Akihiko Tsuda
Bull. Chem. Soc. Jpn. 2011, 84, 1031–1038.
*BCSJ Award Article, Highlighted in Cover Picture Open Access
doi.org/10.1246/bcsj.20110178

 
[50] A Doubly Activated Supramolecular Reaction: Transesterifications of Acyclic Oligoether Esters with Metal Alkoxides
Kazumitsu Kawakami, Yoshihisa Sei, Kentaro Yamaguchi, and Akihiko Tsuda
J. Org. Chem. 2011, 76, 875–881.
doi.org/10.1021/jo102106g

 
----- 2010 -----
[49] Spectroscopic Visualization of Sound-Induced Liquid Vibrations using a Supramolecular Nanofibre
Akihiko Tsuda*, Yuka Nagamine, Reiko Watanabe, Yoshiki Nagatani, Noriyuki Ishii, and Takuzo Aida
Nature Chem. 2010, 2, 977–983.
doi.org/10.1038/NCHEM.825

 
[48] Excitation Energy Migration Processes in Self-Assembled Porphyrin Boxes Constructed by Conjugated Porphyrin Dimers
Pyosang Kim, Jong Min Lim, Min-Chul Yoon, Junko Aimi, Takuzo Aida, Akihiko Tsuda,* and Dongho Kim
J. Phys. Chem. B 2010, 114, 9157–9164.
doi.org/10.1021/jp103767m
 
----- 2009 ——
 <Review>
[47] Design of Porphyrin Nanoclusters Toward Discovery of the Novel Properties and Functions
Akihiko Tsuda
Bull. Chem. Soc. Jpn. 2009, 82, 11-28.
*Award Accounts Open Access
doi.org/10.1246/bcsj.82.11

 
[46] 超分子が渦の中でらせんを巻く?! ⎯超分子ナノファイバー溶液の撹拌による光学活性の誘起⎯
津田 明彦
化学, 化学同人, 2009, 64, 18–22.
*Highlighted in Cover Picture

 
----- 2008 -----
[45] Translation of Helical Chirality from Polymer into Monomer: Supramolecular Polymerization of a Chirality –Memory Molecule with an Asymmetric Pd(II) Complex
Md. Akhtarul Alam, Akihiko Tsuda, Yoshihisa Sei, Kentaro Yamaguchi, and Takuzo Aida
Tetrahedron 2008, 64, 8264–8270. (Special Issue for the Sir Fraser Stoddart’s Birthday)
doi.org/10.1016/j.tet.2008.05.126
 
[44] ‘Conformational’ Solvatochromism: Spatial Discrimination of Nonpolar Solvents Using a Supramolecular Box of a π-Conjugated Zinc Bisporphyrin Rotamer
Junko Aimi, Yuka Nagamine, Akihiko Tsuda,* Atsuya Muranaka, Masanobu Uchiyama, and Takuzo Aida
Angew. Chem. Int. Ed. 2008, 47, 5153–5156.
*Highlighted in Inside Cover Picture
doi.org/10.1002/anie.200801332

 
[43] Directed 1D Assembly of a Ring-Shaped Inorganic Nanocluster Templated by an Organic Rigid Rod Molecule: An Inorganic/Organic Polypseudorotaxane
Md. Akhtarul Alam, Yeong-Sang Kim, Saho Ogawa, Akihiko Tsuda,* Noriyuki Ishii, and Takuzo Aida
Angew. Chem. Int. Ed. 2008, 47, 2070–2073.
*Highlighted in Cover Picture
doi.org/10.1002/anie.200890040

 
----- 2007 -----
[42] Spectroscopic Visualization of Dynamic Vortex Flows Using a Dye-Containing Nanofiber
Akihiko Tsuda,* Md. Akhtarul Alam, Takayuki Harada, Tatsuya Yamaguchi, Noriyuki Ishii, and Takuzo Aida
Angew. Chem. Int. Ed. 2007, 46, 8198–8202.
*Selected as "VIP" and "Hot paper". Highlighted in "Nature Materials 2007, 6, 924–925: News & Views", "Angew. Chem. Int. Ed. 2008, 47, 636–638: Highlight", "Chemistry & Industry Magazine" (Society of Chemical Industry in London), and "Nanotechweb"
doi.org/10.1002/anie.200703083

 
[41] Photophysics of meso-beta Doubly Linked Ni(II) Porphyrin Arrays: Large Two-Photon Absorption Cross-Section and Fast Energy Relaxation Dynamics
Min-Chul Yoon, Su Bum Noh, Akihiko Tsuda, Yasuyuki Nakamura, Atsuhiro Osuka, and Dongho Kim
J. Am. Chem. Soc. 2007, 129, 10080–10081.
doi.org/10.1021/ja0735655
 
[40] Amplified Chiral Transformation through Helical Assembly
Kunihiko Toyofuku, Md. Akhtarul Alam, Akihiko Tsuda, Norifumi Fujita, Shigeru Sakamoto, Kentaro Yamaguchi, and Takuzo Aida
Angew. Chem. Int. Ed. 2007, 46, 6476–6480.
*Highlighted in Inside Cover Picture
doi.org/10.1002/anie.200701668
 
[39] Chiroptical Sensing of Asymmetric Hydrocarbons Using a Homochiral Supramolecular Box from a Bismetalloporphyrin Rotamer
Junko Aimi, Kazumasa Oya, Akihiko Tsuda,* and Takuzo Aida
Angew. Chem. Int. Ed. 2007, 46, 2031–2035.
doi.org/10.1002/anie.200604330

 
----- 2006 -----
[38] Synthesis and Characterization of Facially Encumbered and Soluble Porphyrin Tapes
Toshiaki Ikeda, Akihiko Tsuda, Naoki Aratani, and Atsuhiro Osuka
Chem. Lett. 2006, 35, 946–947.
doi.org/10.1246/cl.2006.946
 
[37] Spectroscopic and Theoretical Studies of Optically Active Porphyrin Dimers: a System Uninterpretable by Exciton Coupling Theory
Atsuya Muranaka, Yoshiaki Asano, Akihiko Tsuda, Atsuhiro Osuka, and Nagao Kobayashi
ChemPhysChem 2006, 7, 1235–1240.
doi.org/10.1002/cphc.200500611
 
[36] Hermaphroditic Chirality of a D2-Symmetric Saddle-Shaped Porphyrin in Multicomponent Spontaneous Optical Resolution: Inclusion Cocrystals with Double-Helical Porphyrin Arrays
Yukitami Mizuno, Md. Akhtarul Alam, Akihiko Tsuda, Kazushi Kinbara, Kentaro Yamaguchi, and Takuzo Aida
Angew. Chem. Int. Ed. 2006, 45, 3786–3790.
doi.org/10.1002/anie.200503054
 
[35] A Theoretical Study on the Third-Order Nonlinear Optical Properties of pi-Conjugated Linear Porphyrin Arrays
Yoichi Matsuzaki, Atsushi Nogami, Akihiko Tsuda, Atsuhiro Osuka, and Kazuyoshi Tanaka
J. Phys. Chem. A 2006, 110, 4888–4899.
doi.org/10.1021/jp0582989
 
----- 2005 -----
[34] Planar or Perpendicular? Conformational Preferences of pi-Conjugated Metalloporphyrin Dimer and Trimer in Supramolecular Tubular Arrays
Akihiko Tsuda,* Haifeng Hu, Ryo Tanaka, and Takuzo Aida
Angew. Chem. Int. Ed. 2005, 44, 4884–4888.
*Selected as Hot Paper
doi.org/10.1002/anie.200500887

 
[33] Magnetic Circular Dichroism Study of Directly Fused Porphyrins
Atsuya Muranaka, Masaki Yokoyama, Yotaro Matsumoto, Masanobu Uchiyama, Akihiko Tsuda, Atsuhiro Osuka, and Nagao Kobayashi
ChemPhysChem 2005, 6, 171–179.
doi.org/10.1002/cphc.200400378
 
----- 2004 -----
[32] A Molybdenum Crown Cluster Forms Discrete Inorganic–Organic Nanocomposites with Metalloporphyrins
Akihiko Tsuda,* Eri Hirahara, Yeong-Sang Kim, Hiroyuki Tanaka, Tomoji Kawai, and Takuzo Aida
Angew. Chem. Int. Ed. 2004, 43, 6327–6331.
*Highlighted in Cover Picture
doi.org/10.1002/anie.200460990

 
[31] Porphyrin Boxes Constructed by Homochiral Assembly: Optical Separation, Exciton Coupling, and Efficient Excitation Energy Migration
In-Wook Hwang, Taisuke Kamada, Tae Kyu Ahn, Dah Mee Ko, Takeshi Nakamura, Akihiko Tsuda, Atsuhiro Osuka, and Dongho Kim
J. Am. Chem. Soc. 2004, 126, 16187–16198.
doi.org/10.1021/ja046241e
 
<著書>
[30] 光機能性デンドリマー 光捕集アンテナ機能を中心に
相田 卓三, 金原 数, 田代 健太郎, 津田 明彦
超分子科学 ナノ材料創製に向けて 中嶋 直敏 編著, 化学同人, 2004, 287–297.
 
----- 2003 -----
[29] A Novel Supramolecular Multicolor Thermometer by Self-Assembly of a pi-Extended Zinc Porphyrin Complex
Akihiko Tsuda,* Shigeru Sakamoto, Kentaro Yamaguchi, and Takuzo Aida
J. Am. Chem. Soc. 2003, 125, 15722–15723.
doi.org/10.1021/ja038349k

 
[28] STM Images of Individual Porphyrin Hexamers; meso-meso Singly Linked Orthogonal Hexamer and meso-meso, beta-beta, beta-beta Triply-Linked Planar Hexamer on Cu(100) Surface
Akihiko Takagi, Yoshiki Yanagawa, Akihiko Tsuda, Naoki Aratani, Takuya Matsumoto, Atsuhiro Osuka, and Tomoji Kawai
Chem. Commun. 2003, 2986–2987.
doi.org/10.1039/B309656D
 
[27] pi-Conjugated Multi-Porphyrin Box via Self-Assembly of an Ethynylene-Bridged Zinc Porphyrin Dimer
Akihiko Tsuda, Haifeng Hu, Reiko Watanabe, and Takuzo Aida
J. Porphyrin Phthalocyanine 2003, 7, 388–393.
doi.org/10.1142/S1088424603000501

 
[26] Oxidative Direct Coupling of Metalloporphyrins
Yasuyuki Nakamura, Naoki Aratani, Akihiko Tsuda, Atsuhiro Osuka, Ko Furukawa, and Tatsuhisa Kato
J. Porphyrin Phthalocyanine 2003, 7, 264–269.
doi.org/10.1142/S1088424603000355
 
[25] Resonance Raman Spectroscopic Study of Fused Multiporphyrin Linear Arrays
Dae Hong Jeong, Sung Moon Jang, In-Wook Hwang, Dongho Kim, Yoichi Matsuzaki, Kazuyoshi Tanaka, Akihiko Tsuda, Takeshi Nakamura, and Atsuhiro Osuka
J. Chem. Phys. 2003, 119, 5237–5252.
doi.org/10.1063/1.1596854
 
[24] Photophysical Properties of a Three-Dimensional Zinc(II) Porphyrin Box
In-Wook Hwang, Hyun Sun Cho, Dae Hong Jeong, Dongho Kim, Akihiko Tsuda, Takeshi Nakamura, and Atsuhiro Osuka
J. Phys. Chem. B 2003, 107, 9977–9988.
doi.org/10.1021/jp022625k
 
[23] Electrical Conduction through Linear porphyrin Arrays
Dae Hwan Yoon, Sun Bae Lee, Jinhee Kim, Jong Kuk Lim, Naoki Aratani, Akihiko Tsuda, and Atsuhiro Osuka, and Dongho Kim
J. Am. Chem. Soc. 2003, 125, 11062–11064.
doi.org/10.1021/ja0346429
 
[22] Metal-Dependent Regioselective Oxidative Coupling of 5,10,15-Triarylporphyrins with DDQ-Sc(OTf)3 and Formation of an Oxo-quinoidal Porphyrin
Makoto Kamo, Akihiko Tsuda, Yasuyuki Nakamura, Naoki Aratani, Ko Furukawa, Tatsuhisa Kato, and Atsuhiro Osuka
Org. Lett. 2003, 5, 2079–2082.
doi.org/10.1021/ol0344826
 
[21] Synthesis of meso-beta Doubly-Linked Porphyrin Tapes
Akihiko Tsuda, Yasuyuki Nakamura, and Atsuhiro Osuka
Chem. Commun. 2003, 1096–1097.
doi.org/10.1039/B302032K

 
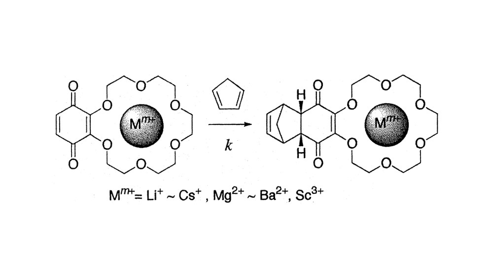
[20] Self-activated Supramolecular Reactions: Effects of Cation Binding on Kinetics of Diels-Alder Reaction of Acyclic Oligoether-Quinones with Cyclopentadiene
Akihiko Tsuda,* Chikako Fukumoto, and Takumi Oshima
J. Am. Chem. Soc. 2003, 125, 5811–5822.
doi.org/10.1021/ja021444t

 
<Review and Book>
[19] Dendrimer
Akihiko Tsuda, and Takuzo Aida
Nanotechnology handbook (Chapter 3-4-9), 2003, volume 1, 130–135.
 
[18] Molecular Wire
Akihiko Tsuda, and Takuzo Aida
Nanotechnology handbook (Chapter 3-2-4), 2003, volume 1, 78–82.
 
[17] Directly Linked and Fused Oligoporphyrin Arrays
Akihiko Tsuda, Naoya Yoshida, Aiko Nakano, Naoki Aratani, and Atsuhiro Osuka
Advanced Macromolecular and Supramolecular Materials and Processes, 2003, 115–123.
 
----- 2002 -----
[16] Effects of Host-Guest Recognition on Kinetics of Diels-Alder Reaction of Quinocrown Ethers with Cyclopentadiene
Akihiko Tsuda, and Takumi Oshima
J. Org. Chem. 2002, 67, 1282–1289.
doi.org/10.1021/jo010991e

 
[15] Ground and Excited States of Linked and Fused Zinc Porphyrin Dimers: Symmetry Adopted Cluster (SAC) – Configration Interaction (CI) Study
T. Miyahara, H. Nakatsuji, J. Hasegawa, A. Osuka, N. Aratani, and A. Tsuda
J. Chem. Phys. 2002, 117, 11196–111207.
doi.org/10.1063/1.1521763
 
[14] Photophysical Properties of Porphyrin Tapes
Hyun Sun Cho, Dae Hong Jeong, Sung Cho, Dongho Kim, Yoichi Matsuzaki, Kazuyoshi Tanaka, Akihiko Tsuda, and Atsuhiro Osuka
J. Am. Chem. Soc. 2002, 124, 14642–14654.
doi.org/10.1021/ja020826w
 
[13] A Self-Assembled Porphyrin Box from meso-meso-Linked Bis{5-p-pyridyl-15-(3,5-di-octyloxyphenyl)porphyrinato zinc(II)}
Akihiko Tsuda, Takeshi Nakamura, Shigeru Sakamoto, Kentaro Yamaguchi, and Atsuhiro Osuka
Angew. Chem. Int. Ed. 2002, 41, 2817–2821.
doi.org/10.1002/1521-3773(20020802)41:15<2817::AID-ANIE2817>3.0.CO;2-0

 
<Review and Book>
[12] Directly Linked and Fused Oligoporphyrin Arrays from Oxidation of Metalloporphyrins
Akihiko Tsuda, and Atsuhiro Osuka
Journal of Inclusion Phenomena and Macrocyclic Chemistry, 2002, 41, 77–81. 
 
[11] Discrete Conjugated Porphyrin Tapes with an Exceptionally Small Bandgap
Akihiko Tsuda, and Atsuhiro Osuka
Adv. Mater. 2002, 14, 75–79.
doi.org/10.1002/1521-4095(20020104)14:1<75::AID-ADMA75>3.0.CO;2-8

 
[10] デンドリマーが拓く新たな可能性
津田 明彦, 相田 卓三
ナノテク活用技術のすべて (3章), 2002, 88–91.
 
----- 2001 -----
[9] Syntheses, Structural Characterizations, and Optical and Electrochemical Properties of Directly Fused Diporphyrins
Akihiko Tsuda, Hiroyuki Furuta, and Atsuhiro Osuka
J. Am. Chem. Soc. 2001, 123, 10304–10321.
doi.org/10.1021/ja0110933

 
[8] Fully Conjugated Porphyrin Tapes with Electronic Absorption Bands That Reach into Infrared
Akihiko Tsuda, and Atsuhiro Osuka
Science 2001, 293, 79–82.
*Highlighted in Research News of Adv. Mater.
doi.org/10.1126/science.1059552

 
<Review and Book>
[7] メゾ-メゾ結合および縮環ポルフィリン多量体の構造と物性
津田 明彦,大須賀 篤弘
光化学 2001, 32, 17–19. 
 
[6] Discrete Giant Porphyrin Arrays; Changes to Molecular Size, Length, and the Extent of Electronic pi-Conjugation
Naoki. Aratani, Akihiko Tsuda, and Atsuhiro Osuka
Synlett 2001, 11, 1663–1674.
doi.org/10.1055/s-2001-18073
 
----- 2000 -----
[5] Completely Fused Diporphyrins and Triporphyrin
Akihiko Tsuda, Hiroyuki Furuta, and Atsuhiro Osuka
Angew. Chem., Int. Ed. 2000, 39, 2549–2552.
*Selected as VIP
doi.org/10.1002/1521-3773(20000717)39:14<2549::AID-ANIE2549>3.0.CO;2-A

 
[4] Doubly meso-beta-Linked Diporphyrins from Oxidation of 5,10,15-Triaryl-Substituted NiII-and PdII-Porphyrins
Akihiko Tsuda, Aiko Nakano, Hiroyuki Furuta, Hideki Yamochi, and Atsuhiro Osuka
Angew. Chem. Int. Ed. 2000, 39, 558–561.
doi.org/10.1002/(sici)1521-3773(20000204)39:3<558::aid-anie558>3.0.co;2-g

 
----- 1999 -----
[3] Cation Complexation of Quinocrown Ethers in Electrospray Ionization Mass Spectrometry. A Comparison with Benzocrown Ethers
Akihiko Tsuda, Hroshi Moriwaki, and Takumi Oshima
J. Chem. Soc., Perkin Trans. 2 1999, 1235–1240.
doi.org/10.1039/A808752K

 
----- 1998 -----
[2] Cation Binding Acceleration of Diels-Alder Reaction of Quinocrown Ethers with Cyclopentadiene
Akihiko Tsuda, and Takumi Oshima
New J. Chem. 1998, 1027–1029.
doi.org/10.1039/A805326J

 
[1] 2,3-Benzoquino[15]crown-5
Akihiko Tsuda, Tatsuya Kawamoto, and Takumi Oshima
Acta Cryst. 1998, C54, 1362–1364.
doi.org/10.1107/S010827019800287X