论文
2026
- “Preparation of Nitrones by Hydrogenation of 2-(2-Nitro-1-phenylethyl)cyclohexanones”

X. Li, A. Sakamoto, S. Murakami, R. Matsubara, M. Hayashi*
Synlett.in press. DOI : 10.1055/a-2770-5422
2025
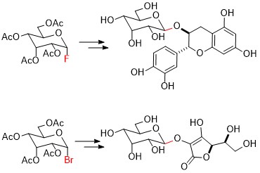
- Synthesis of Glycosides Containing D-Allose

A. Ikemoto, D. Huanlin, C. Chi, S. Murakami, R. Matsubara, M. Hayashi*
J. Heterocycl. Chem. 62, 892–898 (2025).DOI: 10.1002/jhet.70037
- Photocatalytic CO2 reduction to formate using triarylphosphine as reductant
J. Xu, S. Murakami, T. Harada, W. Xie, T. Yabuta, M. Hayashi, R. Matsubara*
Tetrahedron, 184, 134787 (2025). DOI: 10.1016/j.tet.2025.1347877
- Multifaceted reactivity of benzimidazoline as an electron donor, a hydride donor, and a catalyst
T. Harada, S. Murakami,* R. Matsubara*
Tetrahedron Chem, 16, 100147 (2025). DOI: 10.1016/j.tchem.2025.100147
- CO2からのギ酸製造~希少金属を使用しないCO2変換法~
R. Matsubara*
(Noble Meta-Free CO2 Conversion to Formic Acid)” エネルギー・資源, 46, 562–573 (2025).
- Carbazol-3-olate photosensitizers enable photocatalytic hydrodefluorination and Birch-type reduction reactions
H. Kuang, W. Xie,* T. Yabuta, M. Fuki, M. Higashi, Y. Kobori,* N. Sakai, S. Akimoto, M. Hayashi, R. Matsubara*
Org. Chem. Front. 12, 3626–3635 (2025). DOI: 10.1039/D5QO00056D
- Enhancing Reaction Efficiency in Photochemical Organic Synthesis by Controlling the Dynamic Effects of Excitons
H. Mitsunuma,* R. Matsubara*
J. Chem. Phys. 162, 100902 (2025). DOI: 10.1063/5.0240938
- Non-aerobic and One-pot Synthesis of Carbazoles from Cyclohexanones and Arylhydrazines

K. Miki, R. Matsubara, M. Hayashi*
Synthesis 57, 1599–1606 (2025). DOI: 10.1055/a-2519-9499
- Facile Synthesis of 2- and 3-Substituted Indoles Using a Catalytic Amount of Pd/C and 1-Octene System

D. Xu, R. Matsubara, M. Hayashi*
Synthesis 57, 800-811 (2025). DOI: 10.1055/a-2464-6964
- Regiodivergent Desymmetrization of meso-4,5-Epoxycyclohex-1-ene

Y. Wang, M. Wakiya, R. Matsubara, M. Hayashi*
J. Org. Chem. 90, 840-845 (2025). DOI: 10.1021/acs.joc.4c02214
2024
- Triazolium-Catalyzed Metal-Free Photochemical Reduction of CO2 into Formate

W. Xie,* M. Fuki, A. Sukegawa, K. Okunaka, M. Hayashi, Y. Kobori,* R. Matsubara*
ACS Sustainable Chem. Eng. 12, 17328-17335 (2024).
DOI: 10.1021/acssuschemeng.4c07137
- Synthesis of 2‑(Pyridin-2-yl)phenols and 2‑(Pyridin-2-yl)anilines

K. Miki, K. Maeda, R. Matsubara, M. Hayashi*
J. Org. Chem. 89, 5797-5810 (2024). DOI: 10.1021/acs.joc.4c00423
2023
- Sensitizer-free photochemical regeneration of benzimidazoline organohydride

R. Matsubara,* T. Harada, W. Xie, T. Yabuta, J. Xu, M. Hayashi
J. Org. Chem. 88, 12276–12288 (2023). DOI: 10.1021/acs.joc.3c00898
- Recent progress in synthesis and application of furoxan

M. Abu Yousef, R. Matsubara*
RSC Advances, 13, 5228–5248 (2023). DOI: 10.1039/d3ra00189j
- One-pot synthesis of 3-substiuted indoles from 2-(2-nitro-1-phenylethyl)cyclohexanone derivatives

Y. Kuang, K. Maeda, R. Matsubara, M. Hayashi*
J. Org. Chem.88, 5791–5800 (2023). DOI: 10.1021/acs.joc.3c00233.
- Photophysical and electrochemical properties of 9-naphthyl-3,6-diaminocarbazole derivatives and their application as photosensitizers

R. Matsubara,* H. Kuang, T. Yabuta, W. Xie, M. Hayashi, E. Sakuda
J. Photochem. Photobiol. 15, 100176 (2023). DOI: 10.1016/j.jpap.2023.100176
- Metal-free reduction of CO2 to formate using a photochemical organohydride-catalyst recycling strategy

W. Xie, J. Xu, U. Md Idros, J. Katsuhira, M. Fuki, M. Hayashi, M. Yamanaka,* Y. Kobori,,* R. Matsubara*
Nat. Chem. 15, 794–802 (2023). DOI: 10.1038/s41557-023-01157-6
- Cuticular hydrocarbon reception by sensory neurons in basiconic sensilla of the Japanese carpenter ant
H. Watanabe,* S. Ogata, N. Noudomi, K. Tateishi, H. Nishino, R. Matsubara, M. Ozaki, F. Yokohari
Front. Cell. Neurosci. Sec. Cellular Neurophysiology. 17, 1084803 (2023). DOI: 10.3389/fncel.2023.1084803
2022
- Diboration of alkynes accelerated by synergistic effects of ruthenium complexes and phenoxides

S. Murakami, R. Matsubara, M. Hayashi*
Eur. J. Org. Chem. 15, e202200905 (2022). DOI: 10.1002/ejoc.202200905
- Chemical identification of an active component and putative neural mechanism for repellent effect of a native ant’s odor on invasive species
T. Uebi, T. Sakita, R. Ikeda, K. Sakanishi, T. Tsutsumi, Z. Zhang, H. Ma, R. Matsubara, S. Matsuyama, S. Nakajima, R.-N. Huang, S. Habe, A. Hefetz, M. Ozaki*
Front. Physiol. 13, 844084 (2022). DOI: 10.3389/fphys.2022.844084
- Direct arylation of furoxan using potassium aryltrifluoroborates

C. Dong, M. Hayashi, R. Matsubara*
Heterocycles. 104, 1770–1781 (2022). DOI: 10.3987/com-22-14720
2021
- Furoxan incorporation into C–H bonds enabling nitrogen-containing functional group installation into the same

C. Dong, X. Zhao, Y. Katsuragi, H. Kim, M. Hayashi, R. Matsubara*
J. Org. Chem. 86, 15807–15817 (2021). DOI: 10.1021/acs.joc.1c01950
- Borylfuroxans : Synthesis and applications

W. Xie, M. Hayashi, R. Matsubara*
Org. Lett. 23, 4317–4321 (2021). DOI: 10.1021/acs.orglett.1c01250
- Regiodivergent Desymmetrization Reaction of meso-Azabicycloheptene Providing Two Enantioenriched Structural Isomers

Yuxin Zheng, Yanze Huang, Peng Gao, Hongyan Liu, Suguru Murakami, Ryosuke Matsubara, and Masahiko Hayashi*
Org. Lett. 23, 2411-2414 (2021). DOI: 10.1021/acs.orglett.1c00036
- Synthesis of Substituted Anilines from Cyclohexanones Using Pd/C−Ethylene System and Its Application to Indole Synthesis

Katsumi Maeda, Ryosuke Matsubara, and Masahiko Hayashi*
Org. Lett. 23, 1530-1534 (2021). DOI: 10.1021/acs.orglett.0c04056
- Photocatalytic Reductive C−O Bond Cleavage of Alkyl Aryl Ethers by Using Carbazole Catalysts with Cesium Carbonate

Tatsushi Yabuta, Masahiko Hayashi, and Ryosuke Matsubara*
J. Org. Chem. 86, 2545-2555 (2021). DOI: 10.1021/acs.joc.0c02663
2020
- Synthesis, structure, and catalytic activity of [Cp∗Ru(η1-ArCN)3]PF6 complexes

Suguru Murakami, Ryosuke Matsubara, Masahiko Hayashi*
Journal of Organometallic Chemistry 933 (2021) 121653. DOI: 10.1016/j.jorganchem.2020.121653
- Selective Synthesis of Some Aminosugars via Catalytic Aminohydroxylation of Protected 2,3-Unsaturated D‐Gluco- and D‐Galacto-2-hexenopyranosides

Ippei Fukuhara, Ryosuke Matsubara, and Masahiko Hayashi*
J. Org. Chem. 85, 9179-9189 (2020). DOI: 10.1021/acs.joc.0c01170
- Synthesis and synthetic application of chloro- and bromofuroxans

R. Matsubara,* A. Ando, H. Hasebe, H. Kim, T. Tsuneda, M. Hayashi
J. Org.Chem. 85, 5959-5972 (2020). DOI: 10.1021/acs.joc.0c00326
- Modular synthesis of carbon-substituted furoxans via radical addition pathway. Useful tool for transformation of aliphatic carboxylic acids based on “build-and-scrap” strategy

R. Matsubara,* H. Kim, T. Sakaguchi, W. Xie, X. Zhao, Y. Nagoshi, C. Wang, M. Tateiwa, A. Ando, M. Hayashi, M. Yamanaka, T. Tsuneda
Org. Lett. 22, 1182-1187 (2020). DOI: 10.1021/acs.orglett.0c00062
2019
- 9-Aryl-3-aminocarbazole as an environment- and stimulisensitive fluorogen and applications in lipid droplet imaging

R. Matsubara,* T. Kaiba, A. Nakata, T. Yabuta, M. Hayashi, M. Tsubaki, T. Uchino, E. Chatani
J. Org. Chem. 84, 5535–5547 (2019). DOI: 10.1021/acs.joc.9b00493
- Activated carbon-promoted dehydrogenation of hydroquinones to benzoquinones, naphthoquinones, and anthraquinones under molecular oxygen atmosphere

S. Kim, R. Matsubara,* M. Hayashi*
J. Org. Chem. 84, 2997–3003 (2019). DOI: 10.1021/acs.joc.8b02961
- A fluorescent naphthalenediimide-alkoxyfuroxan photoinduced nitric oxide donor

C. P. Seymour, A. Nakata, M. Tsubaki, M. Hayashi, R. Matsubara*
Bull. Chem. Soc. Jpn. 92, 162–169 (2019). DOI: 10.1246/bcsj.20180219
2018
- Photoinduced nitrile formation from O-(arylcarbonyl)oxime: Usage as a photoremovable protective group

R. Matsubara,* U. Md Idros, T. Yabuta, H. Ma, M. Hayashi, K. Eda
ChemPhotoChem 2, 1012–1016 (2018). DOI: 10.1002/cptc.201800167
- UVA- and visible light-mediated generation of carbon radicals from organochlorides using non-metal photocatalyst

R. Matsubara,* T. Yabuta, U. Md Idros, M. Hayashi, F. Ema, Y. Kobori, K. Sakata
J. Org. Chem. 83, 9381–9390 (2018). DOI: 10.1021/acs.joc.8b01306
- Synthesis of arylamines via non-aerobic dehydrogenation using a palladium/carbon-ethylene system

Y. Shimomoto, R. Matsubara, M. Hayashi*
Adv. Synth. Catal. 360, 3297–3305 (2018). DOI: 10.1002/adsc.201800504
- Synthesis of sulfonyloxy furoxans via hydroxyfuroxan ammonium salts

R. Matsubara,* Y. Katsuragi, T. Sakaguchi, S. Eguchi, M. Hayashi, A. Ando
Tetrahedron 74, 3642–3651 (2018). DOI: 10.1016/j.tet.2018.05.029
2017
- Inositol hexakis phosphate is the seasonal phosphorus reservoir in the deciduous woody plant (Populus alba L.)
Y. Kurita, K. Baba, M. Ohnishi, R. Matsubara, K. Kosuge, A. Anegawa, C. Shichijo, K. Ishizaki, Y. Kaneko, M. Hayashi, T. Suzaki, H. Fukaki, T. Mimura*
Plant Cell Physiol. 58, 1477–1485 (2017). DOI: 10.1093/pcp/pcx106
- Synthesis of cyanofuroxans from 4-nitrofuroxans via C–C bond forming reactions
R. Matsubara,* A. Ando, M. Hayashi
Tetrahedron Lett. 58, 3337–3340 (2017). DOI: 10.1016/j.tetlet.2017.07.015
- Photosensitization of fluorofuroxans and its application to the development of visible light-triggered nitric oxide donor
C. P. Seymour, R. Tohda, M. Tsubaki, M. Hayashi, R. Matsubara*
J.Org.Chem. 86, 9647–9654 (2017). DOI: 10.1021/acs.joc.7b01709
- Synthesis of Enantiomerically Pure(8S,9S,10R,6Z)-Trihydroxy octadec -6-enoic Acid
Jogula Srinivas,Yoichi Namito,Ryosuke Matsubara,and Masahiko Hayashi*
J.Org.Chem. 82, 5146–5154 (2017). DOI: 10.1021/acs.joc.7b00376
- Recent topics on catalytic asymmetric 1,4-addition
Masahiko Hayashi* and Ryosuke Matsubara
Tetrahedron Lett. 58, 1793-1805 (2017). DOI: 10.1016/j.tetlet.2017.03.044
- Dehydrogenative Formation of Resorcinol Derivatives Using Pd/C-Ethylene Catalytic System
Ibrahim Yussif El-Deeb, Tatsuya Funakoshi, Yuya Shimomoto, Ryosuke Matsubara, and Masahiko Hayashi*
J. Org. Chem. 82, 2630-2640 (2017). DOI: 10.1021/acs.joc.6b03037
- Study on the photo-induced nitric oxide-releasing ability of 4-alkoxy furoxans
R. Matsubara,* S. Takazawa, A. Ando, M. Hayashi, R. Tohda, M. Tsubaki
Asian J. Org. Chem. 6, 619-626 (2017). DOI: 10.1002/ajoc.201700030
- Synthesis of alkynyl furoxans. Rare carbon–carbon bond-forming reaction on a furoxan ring
R. Matsubara,* S. Eguchi, A. Ando, M. Hayashi
Org. Biomol. Chem. 15, 1965-1969 (2017). DOI: 10.1039/c7ob00181a
- Conversion of Cyclohexanones to Alkyl Aryl Ethers Using a Pd/C–Ethylene System
Ibrahim Yussif El-Deeb, Miaomiao Tian, Tatsuya Funakoshi, Ryosuke Matsubara and Masahiko Hayashi*
Eur. J. Org. Chem. 409–413 (2017). DOI: 10.1002/ejoc.201601362
2016
- Selective Synthesis of Partially Protected D-Talopyranosides and D-Gulopyranosides via Catalytic Asymmetric Dihydroxylation: Multiplier Effects of Substrate Control and Catalyst Control
Namito, Yoichi.; Michigami, Kyosuke.; Nagahashi, Takaaki. Matsubara, Ryosuke.; Hayashi, Masahiko.*
Org. Lett. 18, 6058—6061 (2016). DOI: 10.1021/acs.orglett.6b03000
- Progress of Chiral Schiff Bases with C1 Symmetry in Metal-Catalyzed Asymmetric Reactions
Masahiko Hayashi*
Chem. Rec. 16, 2708–2735 (2016). DOI: 10.1002/tcr.201600091
- Photoinduced Charge-Transfer State of 4-Carbazolyl-3-(triluoromethyl)benzoic Acid: Photophysical Property and Application to Reduction of Carbon-Halogen Bonds as a Sensitizer
R. Matsubara,* T. Shimada, Y. Kobori,* T. Yabuta, T. Osakai, M. Hayashi
Chem. Asian J. 11, 2006–2010 (2016). DOI: 10.1002/asia.201600538
- Fluorofuroxans: Synthesis and Application as Photo-induced Nitric Oxide Donors
A. Ando, R. Matsubara,* S. Takazawa, T. Shimada, M. Hayashi
Asian J. Org. Chem. 5, 886–890 (2016). DOI: 10.1002/ajoc.201600149
- Synthesis of Furoxans (1,2,5-oxadiazole 2-oxides) from Styrenes and Nitrosonium Tetrafluoroborate in Non-Acidic Media and Mechanistic Study
R. Matsubara,* A. Ando, Y. Saeki, K. Eda, N. Asada, T. Tsutsumi, Y.-S. Shin, M. Hayashi
J. Heterocyclic Chem. 53, 1094–1105 (2016). DOI: 10.1002/jhet.2360
2015
- Concise Synthesis of Asymmetrically 4,5-Disubstituted 9,9-Dimethyl-9H-xanthenes.
Matsubara, R.;* Koide, M.; Shin, Y.-S.; Shimada, T.; Hayashi, M.
Synthesis, 47, 187―192 (2015). DOI: 10.1055/s-0034-1379368
2014
- Asymmetric Synthesis of cis- and trans-2-Aryl-6-methylpyrans from D-Glucose via Arylation and Inversion of Configuration at C2-Position,
K. Michigami, A. Shimazaki, and M. Hayashi*
Eur J. Org. Chem., 244―253 (2014). DOI: 10.1002/ejoc.201301376
- Revisiting the Saito Photochemical Reduction and the Development of a One-Pot Deoxygenation of Alcohols.
Matsubara, R.;* Shin, Y.-S.; Shimada, T.; Hayashi, M.
Asian J. Org. Chem., 3, 1054―1057 (2014). DOI: 10.1002/ajoc.201402123
2013
- Synthesis of Furoxans from Styrenes under Basic or Neutral Conditions.

Matsubara, R.;* Saeki, Y.; Li, J.; Eda, K.
Synthesis., 45, 1524―1528 (2013)
Highlighted by Synfacts (9, 813 (2013)). DOI: 10.1055/s-0033-1338436
- Cleavage of 4,6-O-Benzylidene Acetal Using Sodium Hydrogen Sulfate Monohydrate
K. Michigami, M. Terauchi, and M. Hayashi*
Synthesis, 45 (11), 1519―1523 (2013). DOI: 10.1055/S-0033-1338469
- “Enantioselective Alkylation of Aldehydes Using Dialkylzincs Catalyzed by Simple Chiral Diols Derived from Naturally Occurring Monosaccharides”,
K. Michigami and M. Hayashi*
Tetrahedron, 69 (21), 4221―4225 (2013). DOI: 10.1016/j.tet.2013.03.090
- “Practical Preparation of Chiral Keto-imine Type ONO Schiff Base Ligands”,
Vasudevan Dhayalan, R. Murakami, and M. Hayashi*
Tetrahedron: Asymmetry, 24 (9-10), 543―547 (2013). DOI: 10.1016/j.tetasy.2013.03.017
- “Enantioselective Alkynylation of Trifluoromethyl Ketones Catalyzed by Chiral Schiff Bases”,
Vasudevan Dhayalan, R. Murakami, and M. Hayashi*
Asian J. Chem., 25 (13), 7505―7508 (2013). DOI: 10.14233/ajchem.2013.14943
- “Synthesis of Novel Nucleosides and Stereoselectivity of N-Glycosidation”,
K. Michigami, S. Uchida, M. Adachi, and M. Hayashi*
Tetrahedron, 69 (2), 595―599 (2013). DOI: 10.1016/j.tet.2012.11.017
2012
- “Imidazole and Imidazoline Derivatives as N-Donor Ligands for Nickel-Catalyzed Kumada-Tamao-Corriu Coupling”,
R. Iwamoto and M. Hayashi*
Heterocycles , 86 (Special issue of Prof. Ei-ichi Negishi for his 77th birthday), 713―718 (2012). DOI: 10.1002/adsc.200600364
- “Enantioselective Copper-Catalyzed 1,4-Addition of Dialkylzincs to Enones Using Novel N,N,P-Cu(II) Complex”,
Y. Ebisu, K. Kawamura, and M. Hayashi*
Tetrahedron: Asymmetry, 23, 959―964 (2012). DOI: 10.1016/j.tetasy.2012.06.010
- “Synthesis of 2-Arylbenzothiazole Derivatives Based on Activated Carbon-O2 Oxidation Followed by Suzuki-Miyaura Coupling”,
Vasudevan Dhayalan and M. Hayashi*
Synthesis, 44, 2209―2216 (2012). DOI: 10.1055/s-0031-1289772
- “Oxidation of Secondary Benzylic Alcohols to Ketones and Benzylic Oxygenation of Alkylarenes with Hydrogen Peroxide in the Presence of Activated Carbon”,
S. Nishida and M. Hayashi*
Synlett, 23, 1683―1685 (2012). DOI: 10.1055/s-0031-1290367
- “Simple Preparation of β-Amino Alcohols Possessing tert-Butyl Group at the Carbon Attached with Hydroxy Group”,
J. T. Zacharia,T. Tanaka, Y. Uesaka, and M. Hayashi*
Synthesis, 44, 1625―1629 (2012). DOI: 10.1055/s-0031-1291039
- “HF-Pyridine: A Versatile Promoter for Monoacylation/Sulfonylation of Phenolic Diols And for Direct Conversion of t-Butyldimethylsilyl Ethers to the Corresponding Acetates”,
K. Michigami, K. Yoshimoto, and M. Hayashi*
Chem. Lett., 41, 138―139 (2012). DOI: 10.1246/cl.2012.138
- “Facile Synthesis of Acacetin-7-O-β-D-Galactopyranoside”,
J. T. Zacharia and M. Hayashi*
Carbohydr. Res., 348, 91―94 (2012). DOI: 10.1016/j.carres.2011.11.015
- “O- and N-Glycosidation of D-Glycals using Ferrier Rearrangement under Mitsunobu Reaction Conditions. Application to N-Nucleoside Synthesis”,
K. Michigami and M. Hayashi*
Tetrahedron, 68, 1092―1096 (2012). DOI: 10.1016/j.tet.2011.11.084
- “Ni- and Cu-Catalyzed Coupling Reactions using 2-(4,5-Dihydro-1H-imidazo-2-yl)phenol as A Versatile Phosphine-free Ligand”,
S. Haneda, K. Sudo, and M. Hayashi*
Heterocycles, 84 (Prof. Dr. Albert Padwa 75th birthday special issue), 569―575 (2012). DOI: 10.1002/chin.201219115
2011
- “Formal Total Synthesis of (-)-Oseltamivir Phosphate”,
T. Tanaka, Q. Tan, H. Kawakubo, and M. Hayashi*
J. Org. Chem., 76, 5477―5479 (2011). DOI: 10.1021/jo200698g
- “Enantioselective Copper-catalyzed 1,4-Addition of Dialkylzincs to Enones Followed by Trapping with Allyl Iodide Derivatives”,
K. Kawamura, H. Fukuzawa, and M. Hayashi*
Bull. Chem. Soc. Jpn., 84, 640―647 (2011). DOI: 10.1246/bcsj.20110035
- “A Facile Synthesis of (1S,5R,6S)-5-Azido-6-benzyloxycyclohex-2-en-1-ol”,
T. Tanaka, Q. Tan, K. Iwanaga, and M. Hayashi*
Carbohydr. Res., 346, 340―342 (2011). DOI: 10.1016/j.carres.2010.11.012
2010
- “Oxidative Transformation of Thiols to Disulfides Promoted by Activated Carbon―Air System”,
M. Hayashi,* K. Okunaga, S. Nishida, K. Kawamura, and K. Eda
Tetrahedron Lett., 51, 6734―6736 (2010). DOI: 10.1016/j.tetlet.2010.10.070
- “A Facile and Highly Enantioselective Synthesis of (+) and (-)-Fluvastatin and their Analogues”,
J. T. Zacharia, T. Tanaka and M. Hayashi*
J. Org. Chem., 75, 7514―7518 (2010).
Highlighted by SYNFACTS 2011, 124. DOI: 10.1021/jo101542y
- “Simple Three Steps Synthesis of Potential Medicine for Metabolic Syndrome”,
K, Adachi, K. Michigami, and M. Hayashi*
Heterocycles, 82 (special issue for Prof. Albert Eschenmoser on the occasion of his 85th birthday), 857―865 (2010). DOI: 10.1002/chin.201117133
- “Dehydrogenation of 1,2,3,4-Tetrahydroquinoline and Its Related Compounds: Comparison of Pd/C―Ethylene System and Activated Carbon―O2 System”,
T. Tanaka, K. Okunaga, and M. Hayashi*
Tetrahedron Lett., 51, 4633―4635 (2010). DOI: 10.1016/j.tetlet.2010.06.118
- “Effect of ortho-Substituents on The Stereochemistry of 2-(o-Substituted Phenyl)-1H-Imidazoline―Palladium Complexes”,
Z. B. Gan, K. Kawamura, K. Eda, and M. Hayashi*
J. Organomet. Chem., 695, 2022―2029 (2010). DOI: 10.1016/j.jorganchem.2010.05.007
- “Biota Uptake of Pesticides by Selected Plant Species; The Case Study of Kilombero Sugarcane Plantations in Morogoro Region, Tanzania”,
J. T. Zacharia,* M. A. Kishimba, and M. Hayashi
Pest. Biochem. Physiol., 97, 71―75 (2010). DOI: 10.1016/j.pestbp.2010.01.001
- “Titanium Tetraisopropoxide Promoted Reactions for the Synthesis of Substituted Coumarins”,
T. Tanaka, K. Yamashita, and M. Hayashi*
Heterocycles, 80 (special issue for Prof. Akira Suzuki's 80th birthday), 631―636 (2010). DOI: 10.1002/chin.201021140